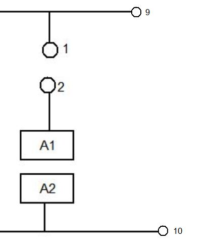
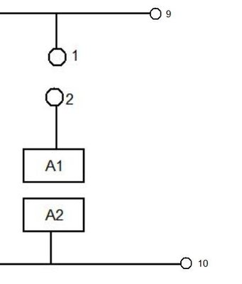
J'ai branché comme il faut
- entrée 220 V en 9 et 10
- entrée thermocouple K en 4 et 5
- sortie OUT1 220V en 1 et 2
- la sortie 1 et 2 vont en A1 et A2 du relais
- 220 v aux bornes 11 et 21 du relais
- la résistance du four est en 14 et 24 sur le relais
J'ai tout branché et mis le régulateur sur Thermocouple type K, et contrôle ON-OFF
Le régulateur affiche bien la température
Je mets la consigne à 100°C
Le voyant OUT1 s'allume
Mais aucun courant ne sort des bornes OUT1 !
Donc le relais ne colle pas.
Quel réglage peut poser problème
Merci de votre aide et de vos conseils.
Photo des appareils


Si ça peut aider, voici tous les paramètres :

















