JC87 a écrit : ↑18 mai 2017, 15:32
Kallysto a écrit : ↑18 mai 2017, 14:28
Et clair que je kifferai avoir mon propre VLAN, mais non. La dernière fois que j'ai émis l'idée, on a failli me projeter par la fenêtre du 5ème étage.
Remarque là au moins tu n'aurai plus de problème vu que tu serai mort

Attention, c'est a prendre au deuxième degré hein, je m'en voudrai de t'inciter au suicide
JC
Mais trop ça !
Par contre si je veux sauter, je vais au 112, je monte les 8 étages, j'ouvre la trappe du toit et je saute de là, plus efficace, moins de risque de loupé.
polishglider a écrit : ↑18 mai 2017, 17:44
Si tu as plusieurs réseaux, il suffit de mettre plusieurs cartes Ethernet dans ton concentrateur (Automate ou Passerelle) ...
non ?
heu... impossible.
J'ai 2 réseaux physiquement séparés. Mais, j'ai une multitude de VLAN sur chacun de ses réseaux, qui s'organisent comme ça :
Et j'ai eu plusieurs fois le coup où mon API et mon écran n'étaient pas sur le même VLAN...
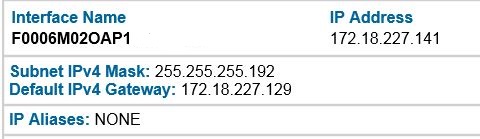
Exemple : l'écran en 172.18.227.125 et l'API en 172.18.227.141...
Les tech m'appellent, je me déplace, je cherche, je comprends pas, tout le monde est en DHCP, je ping tout le monde mais eux se voient pas...
Et d'un coup tu comprends....
Maintenant c'est le premier truc que je vérifie. Mais j'ai eu le problème une paire de fois. En général, comme on déclare dans quel local se trouve l'équipement, il y a eu une erreur et l'automate est déclaré dans la bonne salle mais l'écran dans celle d'en face... Résultat 2 VLAN différents.
Donc pour ça que, indépendamment de la prog, concentrateur pas concentrateur, passerelle pas passerelle, ce qu'il m'a inventé mon cher client, ça va bien me prendre le chou.
Mais bon peut être que quand le service IT en aura marre de mes demandes de modif pour que tout le monde cause ensembles ils vont finir par me faire un VLAN rien qu'à moi !
#MondeDesLicornes